基本信息:
中文名稱 4-氨基-6-苯基嘧啶
英文名稱 6-phenylpyrimidin-4-amine
英文別名 2-Amino-4-phenyl-pyrimidin;4-Amino-6-phenylpyrimidine;6-phenylpyrimidin-4-ylamine;6-Phenyl-pyrimidin-4-ylamin;4-Amino-6-phenyl-pyrimidin;6-amino-4-phenylpyrimidine;6-phenyl-4-pyrimidinamine;
CAS號(hào) 3435-29-8
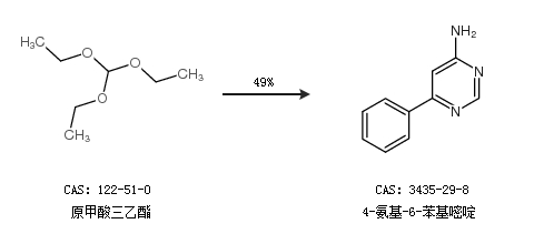
合成路線:
1.通過4-氨基-6-氯嘧啶和苯硼酸合成4-氨基-6-苯基嘧啶,收率約37%;

2.通過原甲酸三乙酯合成4-氨基-6-苯基嘧啶,收率約49%;

中華試劑網(wǎng)提醒:合成路線僅供參考