基本信息:
中文名稱 2,4-二氯-5-苯基嘧啶
英文名稱 2,4-Dichloro-5-phenylpyrimidine
英文別名 2,4-Dichlor-5-nitro-toluol;2,4-Dichlor-5-phenyl-pyrimidin;2,4-Dichlor-5-methyl-nitrobenzol;2,4-dichloro-5-phenyl-pyrimidine;2,4-dichloro-5-nitro-toluene;Phenyl-dichlorpyrimidin;
CAS號(hào) 63558-77-0
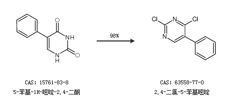
合成路線:
1.通過(guò)5-苯基-1H-嘧啶-2,4-二酮合成2,4-二氯-5-苯基嘧啶,收率約98%;

2.通過(guò)5-溴-2,4-二氯嘧啶和苯硼酸合成2,4-二氯-5-苯基嘧啶,收率約60%;

中華試劑網(wǎng)提醒 合成路線僅供參考