基本信息:
中文名稱 6-溴-4-吲唑甲酸甲酯
中文別名 6-溴-1H-吲唑-4-羧酸甲酯;6-溴-1H-吲唑-4-甲酸甲酯;
英文名稱 Methyl 6-bromo-1H-indazole-4-carboxylate
英文別名 methyl 6-bromo-1H-indazole-4-carboxylate;
CAS號 885518-49-0
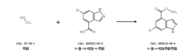
合成路線:
1.通過1-乙?;?6-溴-1H-吲唑-4-羧酸甲酯合成6-溴-4-吲唑甲酸甲酯,收率約70%;

2.通過甲醇和6-溴-1H-吲唑-4-甲酸合成6-溴-4-吲唑甲酸甲酯

合成路線僅供參考