基本信息:
中文名稱 2-[(4,4-二乙氧基-2-丁炔-1-基)氧基]四氫吡喃
英文名稱 2-[(4,4-Diethoxy-2-butyn-1-yl)oxy]tetrahydro-2H-pyr
英文別名 4-tetrahydropyran-2-yloxy-but-2-ynal-diethylacetal;4-Tetrahydropyran-2-yloxy-but-2-inal-diaethylacetal;4-Tetradecyl-thiomorpholin-1,1-dioxid;4-tetradecyl-thiomorpholine-1,1-dioxide;
CAS號(hào) 99805-29-5
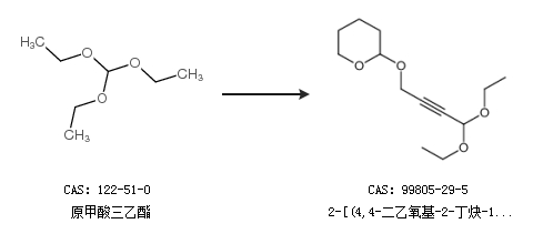
合成路線:
1.通過哌喃、乙基溴化鎂和原甲酸三乙酯合成2-[(4,4-二乙氧基-2-丁炔-1-基)氧基]四氫吡喃,收率約77%;

2.通過原甲酸三乙酯合成2-[(4,4-二乙氧基-2-丁炔-1-基)氧基]四氫吡喃

中華試劑網(wǎng)提醒 合成路線僅供參考