基本信息:
中文名稱 N-芐氧羰基-L-精氨酸
中文別名 N-Cbz-精氨酸;Z-L-精氨酸;N(a)-芐氧基羰基-L-精氨酸;芐氧羰基-L-精氨酸;CBZ-L-精氨酸;Nα-芐氧羰基-L-精氨酸;Cbz-L-精氨酸;
英文名稱 Nalpha-Cbz-L-Arginine
英文別名 Nα-Cbz-L-arginine;Nalpha-Carbobenzyloxy-L-arginine;(S)-2-(((Benzyloxy)carbonyl)amino)-5-guanidinopentanoic acid;(2S)-5-(diaminomethylideneamino)-2-(phenylmethoxycarbonylamino)pentanoic acid;Cbz-L-Arginine;Nα-Carbobenzoxy-L-arginine;
CAS號(hào) 1234-35-1
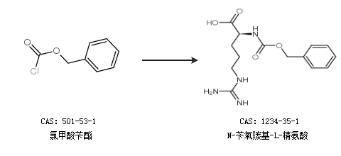
合成路線:
1.通過(guò)L-精氨酸和氯甲酸芐酯合成N-芐氧羰基-L-精氨酸,收率約97%;

2.通過(guò)氯甲酸芐酯合成N-芐氧羰基-L-精氨酸

合成路線僅供參考