基本信息:
中文名稱 表兒茶素
中文別名 表兒茶素 141;(?)-cis-3,3'',4'',5,7-Pentahydroxyflavane;表兒茶精;表兒茶素;2-(3,4-羥基苯基)-3,4-二氫-2H-1-苯并吡喃-3,5,7-三醇;
英文名稱 (-)-epicatechin
英文別名 (?)-cis-3,3'',4'',5,7-Pentahydroxyflavane;L-Epicatechin;(2R,3R)-2-(3,4-Dihydroxyphenyl)chroman-3,5,7-triol;(-)-Epicatechin;(2R,3R)-2-(3,4-Dihydroxyphenyl)-3,4-dihydro-1(2H)-benzopyran-3,5,7-triol;(?)-Epicatechin,from green tea;
CAS號(hào) 490-46-0
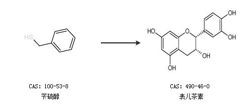
合成路線:
1.通過芐硫醇合成表兒茶素

2.通過原花青素B4和(-)-表沒食子兒茶素沒食子酸酯合成表兒茶素

合成路線僅供參考