基本信息:
中文名稱 L-組氨酸
中文別名 2-胺-3-咪唑丙酸;(S)-2-氨基-3-(4-咪唑基)丙酸;L-2-氨基-3(4-咪唑基)丙酸;L-α-氨基-β-4-咪唑基丙酸;α-氨基-1H-咪唑-4-丙酸;織胺酸;L-組織氨基酸;咪唑-5-Α-丙氨酸;咪唑-5-α-丙氨酸;組氨酸;
英文名稱 L-histidine
英文別名 L-Histdine;HISTIDINE;FEMA 3694;H-L-HIS-OH;Histidin;d,l-histidine;L-Hisidine;L-Histidine;L-HIS;H-HIS-OH;HIS;
CAS號(hào) 71-00-1
合成路線:
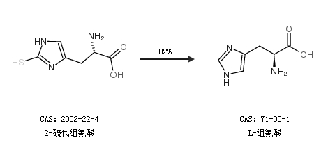
1.通過2-硫代組氨酸合成L-組氨酸,收率約82%;

2.通過N-Boc-N''-芐氧甲基-L-組氨酸合成L-組氨酸,收率約99%;

中華試劑網(wǎng)提醒:合成路線僅供參考