基本信息:
中文名稱 Fmoc-N-甲基-L-丙氨酸
中文別名 FMOC-N-甲基-DL-丙氨酸;NΑ-(9-芴甲氧羰?;鵏)-NΑ-甲基-L-丙氨酸;FMOC-N-甲基-L-丙氨酸;N-芴甲氧羰?;?N-甲基-L-丙氨酸;芴甲氧羰?;?N-甲基丙氨酸;
英文名稱 Fmoc-Nalpha-methyl-L-alanine
英文別名 (2S)-2-[9H-fluoren-9-ylmethoxycarbonyl(methyl)amino]propanoic acid;
CAS號 84000-07-7
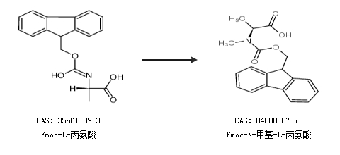
合成路線:
1.通過氯甲酸-9-芴基甲酯合成Fmoc-N-甲基-L-丙氨酸,收率約69%;

2.通過Fmoc-L-丙氨酸合成Fmoc-N-甲基-L-丙氨酸

中華試劑網(wǎng)提醒:合成路線僅供參考