基本信息:
中文名稱 4-N-芐氧羰基氨基環(huán)己酮
中文別名 N-Cbz-4-氨基環(huán)己酮;4-N-CBZ-氨基環(huán)己酮;(4-氧代環(huán)己基)氨基甲酸芐酯;4-(CBZ-氨基)環(huán)己酮;4-(Cbz-氨基)環(huán)己酮;N-CBZ-對氨基環(huán)己酮;N-Cbz-對氨基環(huán)己酮;4-N-芐氧羰基-氨基-環(huán)已酮;
英文名稱 4-N-Cbz-cyclohexanone
英文別名 benzyl N-(4-oxocyclohexyl)carbamate;Benzyl (4-oxocyclohexyl)carbamate;N-Cbz-4-aminocyclohexanone;4-N-Cbz-Aminocyclohexanone;
CAS號 16801-63-1
合成路線:
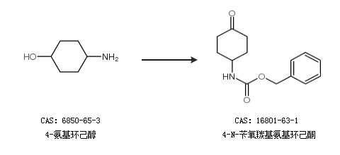
1.通過4-氨基環(huán)己醇合成4-N-芐氧羰基氨基環(huán)己酮

2.通過氯甲酸芐酯合成4-N-芐氧羰基氨基環(huán)己酮

中華試劑網(wǎng)提醒:合成路線僅供參考