基本信息:
中文名稱 1,2-苯并異噻唑-3-酮
中文別名 1,2-苯并異噻唑啉-3-酮;BIT;1,2-苯并異噻唑啉-3-酮,BIT;苯并異噻唑啉-3-酮;1,2-苯并異噻唑啉-3-酮(BIT);1,2-苯并異噻唑-3(2H)-酮;苯并異噻唑啉酮;1,2-苯并異噻唑啉酮;
英文名稱 benzo[d]isothiazol-3-one
英文別名 2,3-dihydro-3-oxo-1,2-benzisothiazole;proxelpl;1,2-Benzisothiazolin-3-One;BIT;Benzocil;Proxel XL;PROXELHL;1,2-benzisothiazol-3-one;BIOCIDE--BIT;Proxan;1,2-benzoisothiazolin-3-one;proxel;1,2-Benzisothiazol-3(2H)-one;proxil;1,2-Benzisothiazolin-3-one;Proxel AB;
CAS號(hào) 2634-33-5
合成路線:
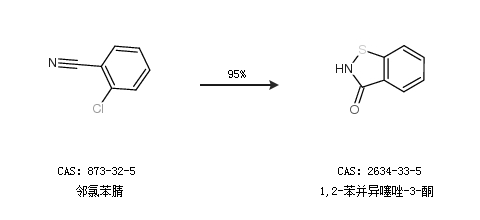
1.通過鄰氯苯腈合成1,2-苯并異噻唑-3-酮,收率約95%;

2.通過2-(甲硫基)苯甲腈合成1,2-苯并異噻唑-3-酮,收率約10%;

中華試劑網(wǎng)提醒:合成路線僅供參考