基本信息:
中文名稱 對甲苯二硫醚
中文別名 對甲苯基二硫醚;4,4''-二甲基二苯二硫;
英文名稱 P-TOLYL DISULFIDE
英文別名 Di-p-tolyl Disulfide;1,2-Di-p-tolyldisulfane;p-Tolyl Disulfide;1-methyl-4-[(4-methylphenyl)disulfanyl]benzene;
CAS號 103-19-5
合成路線:
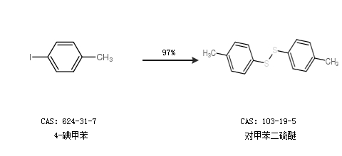
1.通過4-碘甲苯合成對甲苯二硫醚,收率約97%;

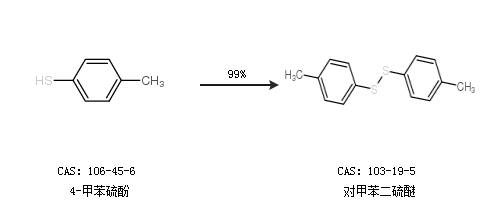
2.通過4-甲苯硫酚合成對甲苯二硫醚,收率約99%;

合成路線僅供參考