基本信息:
中文名稱 殺蟲環(huán)草酸鹽
中文別名 蟲噻烷;甲硫環(huán);N,N-二甲基-1,2,3-三硫雜環(huán)已烷-5-胺草酸鹽;殺螟環(huán);易衛(wèi)殺;N,N-二甲基1,2,3-三硫雜環(huán)已烷-5-胺基草酸鹽;硫環(huán)殺;殺蟲環(huán);
英文名稱 thiocyclam oxalate
英文別名 Thiocyclam hydrogenoxalate;N,N-dimethyl-1,2,3-trithian-5-ylamine oxalate (1:1);san1551;Sulfoxane;Thiocyclam hydrogen oxalate;N,N-dimethyl-1,2,3-trithian-5-amine ethanedioate (1:1);Thiocyclam oxalate;evisekt;NERISECT;thiocyclamhydrogeneoxalate;san155;Evisect;san155i;oxalic acid—N,N-dimethyl-1,2,3-trithian-5-amine;
CAS號 31895-22-4
合成路線:
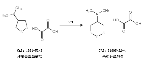
1.通過沙蠶毒素草酸鹽合成殺蟲環(huán)草酸鹽,收率約66%;

合成路線僅供參考