基本信息:
中文名稱 N-Cbz-DL-天冬氨酸
中文別名 N-芐氧羰基-DL-天冬氨酸;
英文名稱 2-(phenylmethoxycarbonylamino)butanedioic acid
英文別名 N-Cbz-DL-aspartic Acid;Carbobenzoxy-L-aspartic acid;CBz-aspartic acid;Cbz-DL-aspartic acid;N-Carbobenzoxy-DL-aspartic Acid;
CAS號 4515-21-3
合成路線:
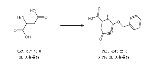
1.通過氯甲酸芐酯和DL-天冬氨酸合成N-Cbz-DL-天冬氨酸,收率約70%;

2.通過DL-天冬氨酸合成N-Cbz-DL-天冬氨酸

中華試劑網(wǎng)提醒:合成路線僅供參考