基本信息:
中文名稱(chēng) 6-氨基-3-甲基嘌呤
中文別名 3-甲基腺嘌呤;3-甲基腺嘌呤;3-甲基腺素;1,10-菲羅啉(無(wú)水);鄰二氮雜菲;2,9-二甲基啉菲羅啉,新銅試劑;3-甲基-3H-嘌呤-6-胺;
英文名稱(chēng) 3-methyladenine
英文別名 6-Amino-3-methylpurine;3-Methyl-3H-purin-6-amine;3-methylpurin-6-amine;3-methyl-3H-purin-6-amine;3-Methyladenine;3-MA,6-Amino-3-methylpurine;
CAS號(hào) 5142-23-4
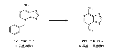
合成路線:
1.通過(guò)腺嘌呤-7-氧化物合成6-氨基-3-甲基嘌呤

2.通過(guò)3-芐基腺嘌呤合成6-氨基-3-甲基嘌呤

合成路線僅供參考