基本信息:
中文名稱 5 5''-二甲基-2,2''-二吡啶
中文別名 3,3''-二甲基-6,6''-聯(lián)吡啶;55''-二甲基-2,2-聯(lián)吡啶;5,5’-二甲基-2,2’-聯(lián)吡啶;5,5''-二甲基-2,2''-聯(lián)吡啶;6,6''-聯(lián)-3-皮考啉;6,6''-二-3-皮考啉;
英文名稱 5-methyl-2-(5-methylpyridin-2-yl)pyridine
英文別名 6,6''-Di-3-picoline;5,5''-dimethyl-bpy;5,5''-Dimethyl-2,2''-dipyridyl;5,5''-dimethyl-2,2''-bipy;6,6''-Di-3-picolyl;5,5''-Dimethyl-2,2''-bipyridyl;5,5''-dimethyl-2,2''-bispyridine;2,2''-BIPYRIDINE,5,5''-DIMETHYL;5,5''-Dimethyl-2,2''-bipyridine;
CAS號(hào) 1762-34-1
合成路線:
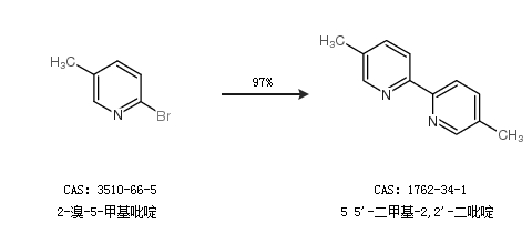
1.通過(guò)2-溴-5-甲基吡啶合成5 5''-二甲基-2,2''-二吡啶,收率約97%;

2.通過(guò)2-氨基-5-甲基吡啶合成5 5''-二甲基-2,2''-二吡啶

中華試劑網(wǎng)提醒:合成路線僅供參考