基本信息:
中文名稱 2,5-二溴-3-甲基吡啶
中文別名 3-甲基-2,5-二溴吡啶;2,5-二溴-3-甲基嘧啶;
英文名稱 2,5-Dibromo-3-methylpyridine
英文別名 2,5-dibromo-3-methyl-pyridine;2,5-Dibromo-3-methylpyridin;2,5-dibrom-3-methylpyridin;2,5-Dibromo-3-picoline;5-bromo-3-methylpyridin-2-amine;2,5-DibroMo-3-Methylpyridine;
CAS號(hào) 3430-18-0
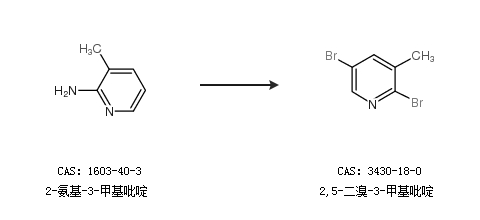
合成路線:
1.通過(guò)2-氨基-3-甲基-5-溴吡啶合成2,5-二溴-3-甲基吡啶,收率約96%;

2.通過(guò)2-氨基-3-甲基吡啶合成2,5-二溴-3-甲基吡啶

中華試劑網(wǎng)提醒 合成路線僅供參考