基本信息:
中文名稱 1-甲基黃嘌呤
中文別名 1-甲基化黃嘌呤衍生物;2,6-二羥基-1-甲基嘌呤;3,7-二氫-1-甲基-1H-嘌呤-2,6-二酮;
英文名稱 1-methyl-7H-xanthine
英文別名 1-Methyl Xanthine;1-methyl-3,7-dihydropurine-2,6-dione;
CAS號(hào) 6136-37-4
合成路線:
1.通過6-氨基-3-甲基尿嘧啶合成1-甲基黃嘌呤

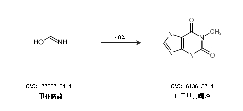
2.通過甲亞胺酸合成1-甲基黃嘌呤,收率約40%;

中華試劑網(wǎng)提醒:合成路線僅供參考