基本信息:
中文名稱 4''-氨基苯并-15-冠-5-醚
中文別名 4''-氨基苯并-15-冠-5;(苯并-15-冠-5)-4''-基胺;4''-氨基苯并-15-冠5-醚;4''-氨基苯并-15-冠醚-5;4-氨基苯并-15-冠5-醚;2,3-(4-氨基苯并)-1,4,7,10,13-戊氧雜環(huán)十五-2-烯;4’-氨基苯并-15-冠-5-醚;
英文名稱 4''-Aminobenzo-15-crown-5-ether
英文別名 4zzhlxy-Aminobenzo-15-Crown-5;4''-AMINOBENZO-15-CROWN-5;4''-AMINOBENZO-15-CROWN 5-ETHER;3,4-aminobenzo-1,4,7,10,13-pentaoxocyclopentadeca-2-ene;
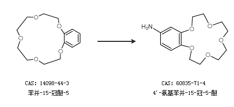
CAS號 60835-71-4
合成路線:
1.通過苯并-15-冠醚-5合成4''-氨基苯并-15-冠-5-醚

2.通過雙[2-(2-氯化乙氧基)乙基]醚合成4''-氨基苯并-15-冠-5-醚

合成路線僅供參考