基本信息:
中文名稱 7-異丙氧基異黃酮
中文別名 (依普黃酮);7-羥異黃酮異丙氧醚;7-異丙氧基-3-苯基-4H-1-苯并吡喃-4-酮;伊普黃酮;依普瑞豐;依普黃酮;依普拉封;
英文名稱 ipriflavone
英文別名 Ipriflavone;4-isopropoxyisoflavone;7-isopropyloxy-isoflavone;FL-113;Yambolap;7-Isopropoxy-3-phenyl-4H-1-benzopyran-4-one;3-phenyl-7-propan-2-yloxychromen-4-one;Osteofix;Ipriflavone (Osteofix);7-Isopropoxyisoflavone;Osten;7-isopropoxy-isoflavone;Osteoquine;
CAS號(hào) 35212-22-7
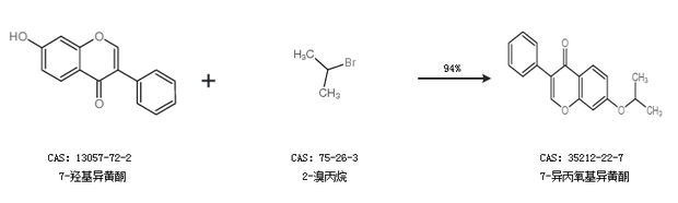
合成路線:
1.通過7-羥基異黃酮和2-溴丙烷合成7-異丙氧基異黃酮,收率約94%;

2.通過7-羥基異黃酮、2-溴丙烷和仲丁醇合成7-異丙氧基異黃酮,收率約96%;

合成路線僅供參考