基本信息:
中文名稱 二(三叔丁基膦)鉑(0)
中文別名 雙(三叔丁基膦)鉑(0);雙(三叔丁基膦)鉑;
英文名稱 Bis(tri-<i>tert</i>-butylphosphine)platinum(0)
英文別名 platinum,tritert-butylphosphane;
CAS號 60648-70-6
合成路線:
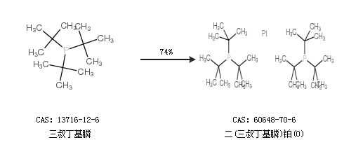
1.通過氯亞鉑酸鉀和三叔丁基膦合成二(三叔丁基膦)鉑(0),收率約81%;

2.通過三叔丁基膦合成二(三叔丁基膦)鉑(0),收率約74%;

中華試劑網提醒:合成路線僅供參考