基本信息:
中文名稱 4-三氟甲基-2-氨基嘧啶
中文別名 2-氨基-4-(三氟甲基)嘧啶;2-氨基-4-三氟甲基嘧啶;
英文名稱 2-Amino-4-(trifluoromethyl)pyrimidine
英文別名 2-Amino-4-(Trifluoromethyl)Pyrimidine;4-(trifluoromethyl)pyrimidin-2-amine;4-(Trifluoromethyl)pyrimidin-2-amine;
CAS號 16075-42-6
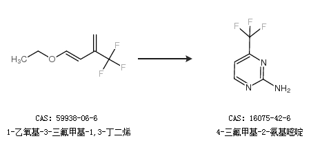
合成路線:
1.通過2-氨基-5-溴-4-三氟甲基嘧啶和聯(lián)硼酸頻那醇酯合成4-三氟甲基-2-氨基嘧啶

2.通過1-乙氧基-3-三氟甲基-1,3-丁二烯合成4-三氟甲基-2-氨基嘧啶

合成路線僅供參考