基本信息:
中文名稱 三特丁基膦溴化鈀
中文別名 二溴雙(三叔丁基膦)化鈀;三叔丁基溴化膦鈀(I);三叔丁基溴化膦鈀(I);二溴雙(三叔丁基膦)二鈀(I);雙-μ-溴雙(三-叔丁基膦)二鈀(I);
英文名稱 palladium,tritert-butylphosphane,bromide
英文別名 Di-;PALLADIUM (I) TRI-TERT-BUTYLPHOSPHINE BROMIDE;
CAS號(hào) 185812-86-6
合成路線:
1.通過(guò)三叔丁基膦合成三特丁基膦溴化鈀,收率約90%;

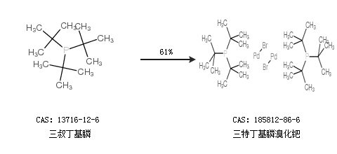
2.通過(guò)三叔丁基膦合成三特丁基膦溴化鈀,收率約61%;

中華試劑網(wǎng)提醒:合成路線僅供參考