基本信息:
中文名稱 2,4-二氨基-6-硝基喹唑啉
英文名稱 6-nitroquinazoline-2,4-diamine
英文別名 2,3-DINOR-6-KETOPROSTAGLANDIN F1A;6-nitro-2,4-diaminoquinazoline;6-nitro-2,4-quinazolinediamine;2,4-Diamino-6-nitroquinazoline;6-nitro-quinazoline-2,4-diamine;
CAS號 7154-34-9
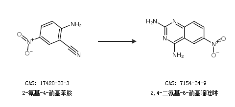
合成路線:
1.通過2-氰基-4-硝基苯胺和碳酸胍合成2,4-二氨基-6-硝基喹唑啉,收率約87%;

2.通過2-氰基-4-硝基苯胺合成2,4-二氨基-6-硝基喹唑啉

中華試劑網(wǎng)提醒:合成路線僅供參考