基本信息:
中文名稱 雙(二苯基膦)丁烷
中文別名 (R,R)-手性膦;(2R,3R)-(+)-二(二苯基膦)丁烷;
英文名稱 (2R,3R)-(+)-BIS(DIPHENYLPHOSPHINO)BUTANE
英文別名 (2R,3R)-2,3-Bis(diphenylphosphino)butan;bis(diphenylphosphino)-1,2-dimethylethane;(R,R)-2,3-bis(diphenylphosphanyl)butane;(-)-(2S,3S)-bis(diphenylphosphino)butane;R,R-Chiraphos;(2R,3R)-(+)-Bis(diphenylphosphino)butane (R,R)-CHIRAPHOS;(2R,3R)-(+)-2,3-BIS(DIPHENYL PHOSPHINO)BUTANE;
CAS號(hào) 74839-84-2
合成路線:
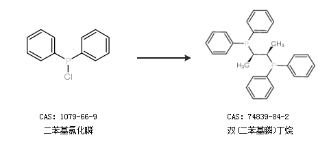
1.通過(guò)二苯基氯化膦合成雙(二苯基膦)丁烷

2.通過(guò)三苯基膦合成雙(二苯基膦)丁烷

合成路線僅供參考